值得一提的是,这也是霍尼韦尔 9 个月来第 3 次创造量子体积纪录。从 2020 年 6 月开始,霍尼韦尔在这 9 个月内将量子系统的性能提高了 16 倍。
▲图源:霍尼韦尔
据悉,“量子体积”概念用于综合度量量子计算机性能,包括度量可解决问题的复杂程度等。量子体积的测量需要一组复杂的统计测试。影响结果的因素包括量子比特数、错误率和量子比特之间的连接性等。

▲上图显示了霍尼韦尔的量子体积测试的重大结果以及每次测试通过的日期,所有的测试都高于 2/3 阈值。

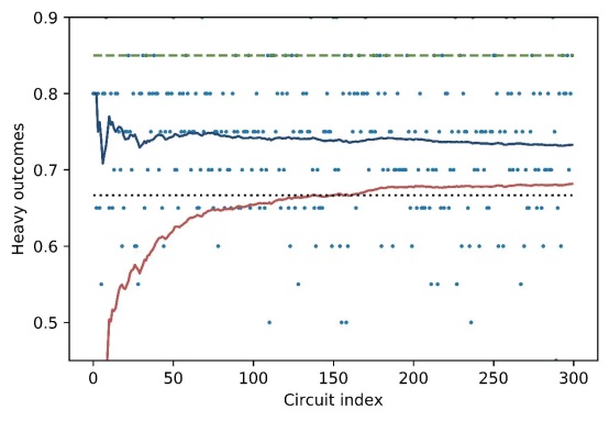
▲上图显示了当量子体积为 512 时,单次输出的重大结果。蓝线是重大结果的平均值,红线是 2-sigma 误差线的下限。当电路达到 151 个时,误差线跨越了 2/3 阈值。
据介绍,最新的 H1 型系统平均单量子比特门保真度达到 99.991(8)%,平均双单量子比特门保真度达到了 99.76(3)%,测量保真度为 99.75(3)%。
霍尼韦尔运行 300 个电路,每个电路操作 20 次,使用标准的量子体积优化技术,平均每个电路产生 76.82 个双量子比特门。 System Model H1 成功通过 512 量子体积的基准测试,73.32% 的时间输出了重大结果,在 2/3 阈值以上,置信度为 99.54%。
霍尼韦尔研发的这款量子系统可以通过其合作伙伴平台直接访问,例如微软的 Azure Quantum、剑桥量子计算公司的 Tket 、Zapata Computing 公司的 Orquestra 和 Strangeworks QC 等平台。

2021-03-08 21:13:48