晓查 栗子 发自 凹非寺
量子位 报道 | 公众号 QbitAI
在科学探索的过程中,“重复造轮子”从来就不新鲜。
最知名如牛顿和莱布尼茨,各自独立发明了微积分;而计算机领域,也有图灵和邱奇先后提出通用计算机理论。
就在近期,天才数学家陶哲轩也经历了类似事件。
今年8月,3位物理学家与陶哲轩共同在Arxiv上发表了一篇研究成果,从一个矩阵和子矩阵的特征值求出特征向量。
他们以为自己的研究是首创,却被学界同行察觉到,早在2014年,论文里的公式就已被另一位荷兰学者发现,而这个公式的雏形最早可以追溯到1968年。
经过网友的提醒,陶哲轩在个人博客评论区承认:这篇5年前的论文和自己参与的新论文,描述的规律是一样的。
陶哲轩表示,推导出上面的公式并不难,但是由于每个人使用的符号不同,加上搜索数学公式的困难,遗憾之前没能发现前人的研究。
除了陶哲轩以外,三位物理学家之一的张西宁也在个人社交平台作出说明。
△来源:微博@中科大胡不归
他提到论文发表时没有关注到前人的成果,现在已经给论文添加了关于早前工作的说明和参考文献,并修改了“首创性”部分的措辞。
讲到这里,量子位需要做一个说明。我们最初是从Quanta Magazine的推文而关注此事,然后继续研究了相关的预印版论文以及相关博客,并在14日中午完成中文报道。由于刊发时间安排,这一报道15日中午发出。
在此过程中,我们没有注意到14日晚间Quanta Magazine在报道最后附上了更新、陶哲轩在博客评论中也谈及此事。这也导致我们在15日发布文章时,没有传递出这一信息,在此对各方和读者表示歉意。
至此,事件算是有了阶段性发展结果,实际是陶哲轩与另外3位物理学家重新发现了该定理,并且因为陶神名气,让“老”公式焕发了“新”活力——使得该公式得到了前所未有的关注和讨论。
因为陶神加持,热议前所未有
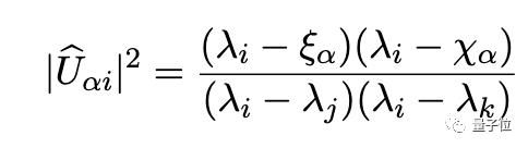
事件的起因,源自三位物理学家在研究中微子振荡时发现,只需要用矩阵和子矩阵的特征值,就可以求出特征向量中,各个分量的平方。
他们把这个在3×3矩阵中得到的特殊结果,发给天才数学家陶哲轩。
陶哲轩在收到物理学家们邮件发来的成果之后,被这个简单整齐的公式震撼了,还给出了三个证明。后来就有了那篇四人联合发表的论文。
交叉领域的新发现,又有陶神加持,一石激起千层浪。
成果发表后,先后在英文和中文网络社区引发了热议。
最早是一位来自莱斯大学的女博士生Manjari Narayan指出,陶哲轩发现的这个公式早在2014年就已经在被一位荷兰学者Van Mieghem提出过。
而且Van Mieghem不是唯一的发现者,该公式在历史上被多次独立重复发现和命名过。
于是也为围观者指出“并非新发现”埋下伏笔,进一步有了上文所述的陶神回复。
但陶神也坦承,自己之前从来没有看到过这项研究:
据我所知,这个预印本没有正式发表过。而且作者特别声明过,这个结论前人也发现过几次,但都没有传播到更广泛的受众里去。
陶神还在个人博客中详细列出了9个曾发现过此公式的文献。
陶神也进一步总结经验、给出建设性呼吁:
看上去,这个规律一直没有受到大规模的关注。我也希望数学能有一种更好的语义搜索引擎,不然除了发布自己的论文,等别人去发现和从前的研究有什么联系,也没有别的办法。
所以由此可见,一个数学规律能够横跨50年,不停地被科学家们当做新的发现写成论文,如今终于被全世界知晓,过程中的曲折离奇,确实也值得单独讨论。
在这之中,每一次独立发现——也包括三位物理学家与陶哲轩发表的成果,既是科学家不断追求认知世界的结果,但也有学术交流时空地域局限带来的“重复造轮子”的无奈。
当然,这次的发现其实也不是完全“重复造轮子”。
Hacker News论坛讨论中,还有人提到,新研究与2014年那项研究实际有差别:
2014年的研究和陶的方法差不多,但在面对实数的时候,那项研究并没有把这种联系,推广成特征向量和特征值之间的完全相关性 (Full Correlation) 。
陶神等人的发现,让这个沉睡多年的公式得以再次重见天日,也引发了学界对该公式更深层次的探讨。
讨论还在更进一步
3位物理学家与陶哲轩将论文公布在Arxiv上,并且命名为Eigenvectors from eigenvalues,意为从特征值获得特征向量。这也引起了不小的争议。
标题只有三个单词,似乎论文中的规律更具一般性,但是这种描述准确吗?一位读者向陶哲轩提出了疑问。
他认为,该公式并不能给出特征向量各个分量的确切值,只能求出范数的平方,我们仍然不能知道分量的正负号。
那么,直接说从特征值求出特征向量,是否有夸大的嫌疑?
对此,陶哲轩表示,标题确实是一个过分的简化(oversimplification)。
但是这种表述比“特征值与特征向量系数范数的平方”更简洁地传达了结果的本质。陶在论文摘要里对这个公式的意义做了更为准确的阐述:
我们将特征向量元素范数的平方与特征值和子矩阵特征值联系起来。
另外,论文中的公式并不是针对所有形式的矩阵,而只是对厄米矩阵(Hermitian Matrix)才成立,也让一些读者对公式的普适性表示怀疑。
什么是厄米矩阵?第i行第j列的元素与第j行第i列的元素互为共轭复数(实数部分相同,虚数部分相反)。例如:
厄米矩阵的一个重要性质是它的特征值必定是实数。在量子力学中,矩阵的特征值往往会对应着某个真实的物理量:能量、粒子数等等。
物理学用到厄米矩阵的情况更多,在原本研究中微子振荡的论文里,3位物理学家用到的就是一个3×3的厄米矩阵,并且从这个特殊的情况推测出更普遍的结论。
跳出物理学,非厄米矩阵的情形更为常见,如果公式不能用在其他情形中,其实用性也会大打折扣。
对于是否可以把全篇论文推广到更一般的情形,有人给出了一种猜测的结果:
将方程中vi,j范数的平方改成:第i个特征向量的第j个分量,与矩阵A的厄米伴随矩阵的特征向量的第j个分量的共轭乘积。
陶哲轩给出了正面的回答:在他的第三种方法,也就是用克莱默法则的证明方法中,应该可以将公式扩展到非厄米矩阵的情形。
即便是只能用于厄米矩阵,那么陶的方法对于对计算机求解特征向量是否仍有实际意义?
已经有读者用NumPy实现了陶哲轩的公式,并且用该方法将计算结果精确到小数点后6位。希望未来这种方法可以用在计算机的矩阵运算中。
接下来如何去验证特征向量各个分量的符号,则是另一个需要解决的问题。
陶哲轩表示,该公式在数值计算中的意义有限,这种方法先计算出向量分量的模,再计算出符号,会将计算成本增加大约2倍。
此外,还有更多的讨论者思考如何进一步应用。
比如浪潮AIHPC物理学博士Jerry就评论:
陶哲轩和物理学家的新数学公式没有唯一解,应用范围有限。
昨天就看到了,其实核心思想就是遍例,需要原厄米矩阵的信息,简单试试是没问题的,前提必须知道原厄米矩阵,否则没意义,对很多物理问题可能无法得到全原厄米矩阵。
在一定程度上对特定物理问题可降低计算强度,不过计算访存比会降低,内存带宽会进一步密集,是否有普遍实用价值不好说,感觉这个就是个数学遍例,没特别颠覆性的影响,而且原文也只是说物理问题,其他领域能不能扩展真不好说。
从昨天推导看,它不能唯一算出本征矢,原因是缺相位,所以应用范围有限,只是一种思路而已。
多说几句,这个方法的本质其实就是使用原厄米矩阵的本征值和子矩阵的本征值共同作用来计算出原厄米矩阵的可能的本征向量,因此它其实还是需要原厄米矩阵的信息在里边的。如果需要计算全部的本征矢,就需要所有的子矩阵,计算量减小一部分,当然也没有少很多。
由于厄米矩阵的相似变换都是可能的本征矢,而这种方法计算缺少相位信息在里面,所以所说算出的本征矢并不唯一。目前所能应用的范围领域是有限的,原文只是给出了中微子领域的一个应用,其他领域能否应用并不好说。
还有其他研究者认为:在机器学习里,感觉可以用来处理缺失feature,假设原矩阵本征值已根据大量数据算出,在新场景下,即使某些样本/feature缺失,也可以粗略算出本征矢,压缩和分类可以更准确。
总之,虽然“新发现”出现反转,但也在传播中形成更大的讨论和思考,功不唐捐。
而且三位物理学家和数学家陶哲轩的跨学科协作、在被质疑后的严谨求实态度和虚怀若谷风范,也让更多围观者经受了一次学术精神洗礼。
事件产生的影响,已不局限于数学物理研究本身。
搜索公式,任重道远;开放交流,非常必要
当然也有另一维度的启示。
有网友就感慨说,即便像陶哲轩这样的世界最顶尖数学家,也可能对某些数学知识存在遗漏可能。
这一方面是学科知识不断大爆炸的结果,开放性学术交流显得愈加有必要性。
另一方面,基础学科——如数学公式搜索、查重等工具也愈加迫切。
在3位物理学家与陶哲轩引爆这一公式之前,“它”已经在1968年以来被发现了N次,但这几位学者却对此难以知晓。
那么有没有更好的方法,可以搜索数学公式、给公式查重?
目前还没有。
虽然现在的语言类AI已经能写出接近人类的小说,但对数学公式的理解还停留在小学生阶段。
今年年初,DeepMind给AI学习了200万道题,结果AI在做四则运算时的正确率只有50%。所以就更不必说让AI去理解和搜索更高阶的线性代数的公式了。
所以即便在经历重大技术跃迁,但在认知世界、探索未知的路上,我们还有不少工作要做、不少挑战要解。
而且还有很多基础性工作,需要顶尖科学家的绝世大脑——即便顶尖AI也需要他们。
有网友在完整经历这一次“反转”后表示,也感受到陶哲轩等科学家身上求实严谨、闻过则喜的精神,更加尊敬。
One more thing
最后,也有不少年轻一代学生好奇:陶哲轩是谁?
这里有一则陶神轶事,或许能为这位天才数学家一个小小小小的注释。
先从这样一个问题说起:
想象你被困在一个房间里,一同被困的还有一头饥饿的狮子。你和狮子都是房间里的点。
假设狮子可以跑得比你快,你也可以跑得比狮子快,且你和狮子可以用同样的速度奔跑。
如何才能避免被吃掉?
这样的问题,在数学和计算机科学领域,叫做追逃博弈 (Pursuit Games) 。
在1984年、陶哲轩还只是9岁的时候,普林斯顿大学教授、菲尔茨奖得主查尔斯 · 费夫曼 (Charles Fefferman) 就问过他这个问题。
那段时间,陶哲轩的父亲陶象国,带着他去拜访世界各地的伟大科学家,想要确认儿子到底是不是有天分。
而与费夫曼教授一同在场的,还有另一位菲尔茨奖得主——恩里科 · 邦别里 (Enrico Bombieri) 教授。
当时为了更好地描述问题,邦别里教授甚至突然站起来,学着狮子吼,然后追着陶哲轩满屋子跑。在这样氛围里,9岁的陶哲轩机智地给出了答案。
时隔多年后,费夫曼教授如今已经不记得9岁男孩给的答案具体细节。
但他依然记得那时的震撼感,因为陶哲轩答出了一个任何课堂里都不会被问到的问题。
此后,陶哲轩在10岁、11岁、12岁先后参加国际数学奥林匹克竞赛,分获铜牌、银牌、金牌,分别是金银铜牌最年轻得主的记录保持者。
16岁获学士学位,17岁获得硕士学位,21岁获得普林斯顿大学博士学位。
24岁,陶哲轩成为加利福尼亚大学洛杉矶分校(UCLA)终身教授。
31岁,陶哲轩斩获“数学诺贝尔”之称的菲尔茨奖。
现在,1975年生的陶哲轩也才44岁,是全世界最知名的华人数学家之一。

2019-11-19 09:46:12