算法的描述
算法,在上一节中已经提及,指的是解决某种问题而制定的实现过程。算法分为算法分析和算法设计。而如何表达算法呢?这就是算法的描述。
算法描述,有自然语言、流程图、N-S流程图等具体方式。
自然语言。指的是用人类的语言类进行总结和规划。
例如:
【实例】 求n!。
以下为具体的的算法描述步骤:
(1)定义3个变量i、n及mul,并为i和mul均赋初值为1。
(2)从键盘中输入一个数赋给n。
(3)将mul乘以i的结果赋给mul。
(4)i的值加1,判断i的值是否大于n,如果大于n,则执行步骤(5),否则执行步骤(3)。
(5)将mul的结果输出。
这种方式不够简洁,容易误解语义,这是最基本的方式。现在基本都用流程图来替代。
流程图的概念
流程图的定义。流程图是一种传统的算法表示法,它用一些图框来代表各种不同性质的操作,用流程线来指示算法的执行方向。由于它直观形象,易于理解,所以应用广泛,特别是在语言发展的早期阶段,只有通过流程图才能简明地表述算法。
-
流程图的符号
算法通过下面的符号画成图形,进行描述:
图1

图2
-
具体的示例
【实例】 从键盘中输入3个数分别赋给a、b、c,要求按大小顺序把它们打印出来。流程图如图所示。
流程图示例
这个流程图非常直观的将问题的算法展示出来,非常清晰明了。这样按照步骤就不会出错。
当你把问题的算法画成图,那么问题就解决了一半,接下来就是写程序代码了。
流程图的三种结构
Bohra和Jacopini为了提高算法的质量,经研究提出了3种基本结构,即顺序结构、选择结构和循环结构,因为任何一个算法都可由这3种基本结构组成。这3种基本结构之间可以并列,可以相互包含,但不允许交叉,不允许从一个结构直接转到另一个结构的内部去。
整个算法都是由3种基本结构组成的,所以只要规定好3种基本结构的流程图的画法,就可以画出任何算法的流程图。
-
顺序结构
顺序结构是简单的线性结构,在顺序结构的程序里,各操作是按照它们出现的先后顺序执行的,如图所示。
在执行完A框所指定的操作后,接着执行B框所指定的操作,这个结构里只有一个入口点A和一个出口点B。

顺序结构
顺序结构的具体示例:
【实例2.4】 输入两个数分别赋给变量i和j,再将这两个数分别输出。
本实例流程图可以采用顺序结构来实现,如图所示。

输入数字示例
-
选择结构
选择结构也叫分支结构,如图所示:

分支结构
选择结构中必须包含一个判断框。图中所代表的含义是根据给定的条件p是否成立选择执行A框或者是B框。
分支结构的具体示例:
【实例】 输入一个数,判断该数是否为偶数,并给出相应提示。

分支结构示例
-
循环结构
在循环结构中,反复地执行一系列操作,直到条件不成立时才终止循环。按照判断条件出现的位置,可将循环结构分为当型循环结构和直到型循环结构。
-
当型循环结构

当型循环结构
当型循环是先判断条件P是否成立,如果成立,则执行A框;执行完A框后,再判断条件P是否成立,如果成立,接着再执行A框;如此反复,直到条件P不成立为止,此时不执行A框,跳出循环。
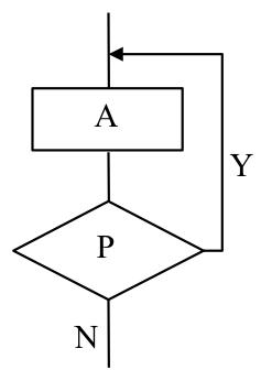
2.直到型循环结构

直到型循环结构
直到型循环是先执行A框,然后判断条件P是否成立,如果条件P成立则再执行A;然后判断条件P是否成立,如果成立,接着再执行A框;如此反复,直到条件P不成立,此时不执行A框,跳出循环。
【实例】 求1和100之间(包括1和100)所有整数之和。
本实例流程图可以用当型循环结构来表示,如图1所示。

当型循环结构来表示
本实例流程图也可以用直到型循环结构来表示,如图2所示。

直到型循环结构来表示

2020-06-01 11:33:24