
N-S流程图
N-S流程图的概念
N-S图是另一种算法表示法,是由美国人I.Nassi和B.Shneiderman共同提出的,其根据是:既然任何算法都是由前面介绍的3种结构组成,则各基本结构之间的流程线就是多余的,因此去掉了所有的流程线,将全部的算法写在一个矩形框内。N-S图也是算法的一种结构化描述方法,同样也有3种基本结构,下面分别进行介绍。
N-S流程图的三种结构
-
1、顺序结构的N-S流程图

顺序结构的流程图1
例如示例:

顺序结构的流程图2
-
2、选择结构的N-S流程图

选择结构图1
例如示例:

选择结构图2
-
3、当型循环的N-S流程图

当型结构图1

当型结构图2
其二,直到型循环的N-S流程图

直到型结构图1

直到型结构2
实例教程画法
-
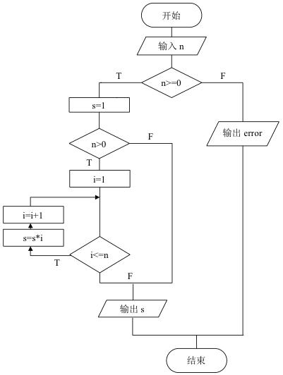
【实例1】 从键盘中输入一个数n,求n!。
画一般的流程图如图所示:

一般的流程图
画N-S流程图如图所示:

N-S流程图
2.【实例2】 求两个数a和b的最大公约数。
画一般的程序流程图所示:

一般流程图3
画N-S流程图如图所示:

N-S流程图2

2020-06-01 12:30:01