外链代发包收录,纯手工外链代发就找老铁外链代发平台
网站地图
收藏
搜索
伪原创工具
文章采集软件
1200元综合外链套餐B
500元综合外链套餐C
全部分类
软文外链套餐
软文外链代发
/
软文案例
博客外链套餐
新浪博客外链
/
博客案例
论坛外链套餐
论坛外链代发
/
论坛案例
B2B外链套餐
B2B友情链接
/
B2B案例
视频外链套餐
视频外链代发
/
视频案例
文库外链套餐
百度文库
/
豆丁文库
代发帖子套餐
代发产品
/
案例
老铁首页
外链代发
外链工具
站长新闻
SEO服务
软文发布
百度快速排名
站长交易平台
您的位置:
老铁SEO
>
站长新闻
>
科技
>
OPPO推出125W充电技术 兼容主流协议,支持手机平板笔记本
24万羊毛党入驻京东,谁是“背锅侠”?
瑞幸“新故事”,就是不盈利
最新资讯
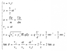
带电粒子在电场中的运动知识总结
基础规律 一、复合场及其特点 这里所说的复合场是指电场、磁场、重力场并存,或其中某两种场并存的场。带电粒子在这些复合场中运动时,必须同时考虑电场力、洛仑兹力和重力的作用或其...
文章来源:老铁商城
2020-02-23
9月1日起14类证明不开具 再也不用跑断腿了!
8月11日,公安部等12部门联合出台《关于改进和规范公安派出所出具证明工作的意见》(下称《意见》),自9月1日起实施,其中有14类证明派出所将不再开具。 公安部等12部门近日联合出台《关于...
文章来源:老铁商城
2020-02-23
Ae教程(进阶版)|总觉得Ae难学?这篇教程告诉你:“一点也不难!”
上个月,我们教大家学习了如何使用Ae中的3d跟踪摄像机功能快速制作外星人入侵地球的动画场景,不知道大家的学习成果如何呢?掌握了基础教程,有没有勇气再来挑战一下难度升级版本?...
文章来源:老铁商城
2020-02-23
均线怎么看?均线的运用法则
均线怎么看?在K线图中白线、黄线、紫线、绿线依次分别表示5日、10、30、60日平均移动线,但这并不是固定的,会根据设置的不同而不同。MA5,白色的曲线代表5日均线,表示的即是该股票近...
文章来源:老铁商城
2020-02-23
Odoo:免费开源ERP经销商订货解决方案
前言 在互联网高速发展的现今,越来越多的经销商以及厂家希望可以电脑下单一体化,从此告别漏单错单,实现经销商订货电子商务时代订货新模式。 对于经销商而言: 门店自己通过网上订...
文章来源:老铁商城
2020-02-23
全球第一开源ERP Odoo操作手册 启用多核来提升Odoo性能
Odoo 10.0通过多核设置,可自动分配出多进程,从而充分利用CPU,大幅提高系统性能。 1.8.1 复制缺失的文件 从官方网站下载的源码中复制 openerp-gevent 到 /usr/bin 目录下。 1.8.2 安装需要的模块 s...
文章来源:老铁商城
2020-02-23
浪潮发布PS Cloud成功包 联手Odoo12助力企业数字化转型
上海2018年11月12日电 -- 11月8日,Odoo 全球路演Odoo V12产品发布会暨企业数字化转型论坛上海站隆重举行,来自全国各地合作伙伴、开源技术爱好者、Odoo 社区开发者等200余人参会,分享业界最新...
文章来源:老铁商城
2020-02-23
如何通过免费开源的ERP Odoo打造企业全员营销整体解决方案
应用场景的背景故事 在一些二级城市,往往线索的来源是通过企业当地口碑积累、熟人转介绍等线下的方式为主,利用互联网的模式往往很难奏效,企业面临的第一个问题就是如何把握线索真...
文章来源:老铁商城
2020-02-23
Odoo操作手册 使用Nginx Upstream来优化Odoo的网络传输性能
1.7.1 简介 Odoo使用werkzeug作为 web 服务的框架,性能比之前的cherrypy有了很大的改善。但无论是werkzeug还是cherrypy,都不是专门的web服务器。通常的做法是在Odoo之前加一个Nginx、Apache或其它服务器...
文章来源:老铁商城
2020-02-23
《OdooERP系统部署架构指南》试读:第二章 简易系统需求
您已经建立了很多虚拟机,Ubuntu 16.04安装了一个正在运行的SSH服务器,就像您在数据中心订购了一台机器一样。所有这些计算机都配置为使用192.168.56.x专用网络相互连接。 您应该在VirtualBox中配...
文章来源:老铁商城
2020-02-23
首页
上一页
2061
2062
2063
2064
2065
2066
2067
2068
2069
2070
2071
下一页
末页
热门资讯
seo入门教程零基础新手学seo必备
2019-03-11
如何绕过对方qq空间查看权限
2019-07-18
最全科普:阿里的P8是什么级别?
2019-10-27
教你电脑插入耳机没有声音怎么办
2019-07-18
教你怎么给文件夹设置密码
2019-08-09
鹿晗入珠 | “入珠”究竟是何等“壮”举
2019-07-31
网站被封,讲课被停!你还记得陈大惠老师吗…
2019-10-18
热门商品
精选文章
超千万人正承受60分钟以上极端通勤
2020-12-04
OPPO推出125W充电技术 兼容主流协议,支持手机平板笔记本
2020-08-15
微信支付时,若出现 “风险提醒”你很有可能正在陷入骗局
2020-07-05
同样做网络推广,为何你不赚钱?
2020-05-05
网络推广如何提高客户信任交易
2020-05-05
热门搜索
伪原创工具
蜘蛛池出租
百度快速排名一周见效_先上首页后付费
软文推广营销,新闻源发布推广,媒体发稿投放
天涯论坛发帖
百度手机快排 百度排名关键词seo优化排名/网站优化/百度快排首页
发新闻稿 门户行业地方网站媒体新闻发布发稿套餐 网络宣传推广
百 度知道|百度问答|内容编辑发布
百度主动提交插件 织梦dedecms百度实时推送主动推送
百度搜狗百科 搜搜百科 SOSO百科创建
在线客服
外链咨询
扫码加我微信
微信:juxia_com
返回顶部